HOME - HOME EXAMENES

Examen:

Biología



1.-La fase de la mitosis en la cual los cromosomas se agrupan en el centro celular es la:
A.- Profase
B.- Anafase
C.- Metafase
D.- Telofase



2.-Durante la digestión celular, las enzimas ___________ las moléculas alimenticias para que éstas puedan difundirse a través de la membrana.
A.- Absorben
B.- Almacenan
C.- Sintetizan
D.- Desintegran



3.-¿Qué sucede con los cromosomas durante la profase inicial de la mitosis?
A.- Se hacen visibles
B.- Se separan a la mitad
C.- Se alinean en el ecuador celular
D.- Se dirigen hacia los polos de la célula



4.-¿Cuál de las siguientes funciones está relacionada con el aparato de Golgi?
A.- Provee de energía a la célula
B.- Presenta una actividad secretora
C.- Conecta al núcleo con el exterior de la célula
D.- Facilita la expulsión de sustancias de desechos



5.-¿Cuál de las siguientes sustancias actúa como molécula transportadora de oxígeno?
A.- Caseína
B.- Colágeno
C.- Tripsina
D.- Hemoglobina

Lea el siguiente párrafo:

Algunos organismos del zooplancton marino aprovechan las mareas nocturnas para llegar a la superficie en donde se alimentan, en tanto que durante el día permanecen en el fondo para evitar ser devorados por sus depredadores
6.-¿Cuál es la razón por la que las células de estos organismos sobreviven sin alimento durante el día?
A.- Las mitocondrias extraen la energía de los nutrientes previamente almacenados
B.- Los lisosomas degradan las biomoléculas contenidas en su interior liberando energía
C.- Los lisosomas convierten los nutrientes previamente almacenados en glucógeno
D.- Las mitocondrias facilitan la formación de sustancias de elevado peso molecular



7.-Si durante la síntesis de proteínas se presenta una mutación en el RNA de transferencia a nivel de la valina, lo más Probable es que las proteínas presenten incapacidad para:
A.- Provocar la formación de polisomas
B.- Sintetizar la cadena de polipéptidos
C.- Enlazar la totalidad de los aminoácidos
D.- Dar estructura al nucleolo de la célula

Observe la siguiente cadena de aminoácidos:

Alanina - Glicina - Leucina - Serina -
Glutamina - Leucina - Metionina
8.-¿Cuántos tripletes distintos de ADN codificarán en una proteína formada por la cadena anterior?
A.- 6
B.- 8
C.- 10
D.- 12



9.-De acuerdo con la historia evolutiva del hombre actual, su ancestro inmediato fue el hombre de:
A.- Java
B.- Pekín
C.- Cro-magnon
D.- Neandertal



10.-Un biólogo cuenta con una prueba indirecta para apoyar la teoría de la evolución, cuando:
A.- Establece que el celacanto es un pez actual cuyas características no han cambiado desde hace miles de años
B.- Demuestra que algunas bacterias no logran ser erradicadas si se les ataca continuamente con un mismo antibiótico
C.- Concluye que los fósiles de Mesohipus pertenecen a uno de los ancestros del caballo
D.- Afirma que el embrión de los mamíferos presenta una gran similitud con el de las aves



11.-Uno de los factores que pueden causar más rápidamente variabilidad en las especies vegetales es la:
A.- Autofecundación
B.- Formación del polen
C.- Alternancia de generaciones
D.- Presencia de células poliploides



12.-Las entidades biológicas que se encuentran en el umbral de la vida debido, entre otros factores, a que tienen la propiedad de poder transformarse en cristales son:
A.- Los virus
B.- Las bacterias
C.- Las cianofitas
D.- Los paramecios



13.-Algunas enfermedades producidas por virus se previenen administrando:
A.- Antibióticos
B.- Antígenos
C.- Hormonas
D.- Enzimas



14.-¿En cuál de los siguientes procesos de una planta se observan más claramente las etapas de desarrollo denominadas incremento y división celular?
A.- Germinación
B.- Fotosíntesis
C.- Polinización
D.- Transpiración



15.-Un paso del ciclo reproductor del plasmodium que se efectúa en el hombre es aquel en el cual los glóbulos rojos son invadidos por:
A.- Gametos diploides que se reproducen sexualmente
B.- Esporas diploides que se reproducen asexualmente
C.- Gametos monoploides que se reproducen sexualmente
D.- Esporas monoploides que se reproducen asexualmente



16.-Durante la digestión celular, ¿qué función realizan los lisosomas?
A.- Captar el alimento
B.- Producir la energía
C.- Almacenar las enzimas
D.- Excretar las sustancias



17.-¿Cuál de las siguientes acciones realiza la lipasa durante la digestión en el hombre?
A.- Transforma la maltosa en glucosa
B.- Transforma la lactosa en galactosa
C.- Desintegra las grasas en ácidos grasos
D.- Desintegra las proteínas en cadenas cortas de aminoácidos



18.-El ritmo del latido cardiaco está controlado por:
A.- La aorta
B.- La válvula
C.- El pericardio
D.- El pacificador

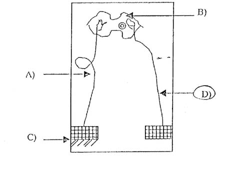
Al observar por el microscopio un corte de tejido vegetal se encontraron las estomas como se representa en el siguiente dibujo:


19.-Lo anterior significa que en el vegetal:


A.- Las células estomáticas están a punto de plasmolizarse
B.- Las células estomáticas perdieron turgencia
C.- La transpiración es muy intensa
D.- La transpiración es mínima



20.-¿Cuál de las siguientes estructuras interviene en el transporte de agua y de alimentos en los troncos de los vegetales?
A.- La médula
B.- El cambium
C.- Los radios vasculares
D.- Las fibras eselerenquimatosas



21.-Una diferencia que existe entre los saltamontes y los peces es que los primeros respiran a través de:
A.- La piel
B.- La tráquea
C.- Los bronquios
D.- Los espiráculos



22.-Un hecho que demuestra que los vegetales pueden respirar en forma anaeróbica se menciona en la opción:
A.- Las tonalidades amarillentas de los vegetales que viven en suelos compactos
B.- Las raíces aéreas de los vegetales que se desarrollan en el agua
C.- El color oscuro que presentan los frutos en estado de putrefacción
D.- El olor característico que tienen las frutas maduras



23.-Las siguientes opciones mencionan algunas funciones del aparato circulatorio del hombre, EXCEPTO la señalada con la letra:
A.- Regula la temperatura
B.- Transporta los nutrientes
C.- Regula la utilización de agua
D.- Destruye algunos agentes infecciosos



24.-¿Cuál de las siguientes actividades realizadas por diferentes organismos está regida por un control hormonal?
A.- La agudeza visual de las águilas
B.- La rapidez del aleteo en los colibríes
C.- El periodo de incubación de las gallinas
D.- El movimiento ondulatorio de las serpientes



25.-La importancia de las vitaminas para el hombre radica en que la mayoría actúa como:
A.- Hormonas
B.- Coenzimas
C.- Energéticos
D.- Catalizadores



26.-¿Cuál de los siguientes organismos presenta un sistema nervioso formado por receptores, ajustadores y efectores?
A.- Hidra
B.- Medusa
C.- Planaria
D.- Lombriz de tierra



27.-En el león, un nervio fotorreceptor es necesario para:
A.- Regular la temperatura corporal
B.- Percibir la intensidad del sonido
C.- Sentir la aspereza de la superficie de los objetos
D.- Calcular la distancia a la que se encuentran los objetos



28.-En el ciclo de la vida de un helecho las esporas se desarrollarán directamente en:
A.- Óvulos
B.- Esporangios
C.- Gametofitos
D.- Esporofitos adultos

Lea el siguiente párrafo:

Durante el ciclo reproductor de Obelia, la __________ es la responsable de la fase sexual
29.-Elija la palabra que completa correctamente el párrafo anterior
A.- Blástula
B.- Gástrula
C.- Planuda fija
D.- Yema de medusa



30.-Durante el desarrollo embrionario de la rana, el arquenterón origina:
A.- La cavidad gastrointestinal
B.- La médula espinal
C.- Los músculos
D.- Los riñones



31.-A diferencia de los individuos que se reproducen asexualmente, los que representan reproducción sexual son capaces de:
A.- Originar un nuevo organismo a partir de un solo individuo
B.- Establecer grandes colonias de individuos semejantes entre sí
C.- Producir una gran diversidad de individuos a partir de dos progenitores
D.- Originar descendencia con el material genético idéntico al de sus progenitores



32.-¿Cuál de las siguientes características es más probable que un nadador le herede a su hijo?
A.- La rapidez al nadar
B.- La afición por nadar
C.- La forma de patalear
D.- La complexión muscular



33.-En el siguiente dibujo, la parte del oído humano cuya función es mantener el equilibrio está señalada con la letra:


A.-
B.-
C.-
D.-



34.-En el ojo del pulpo la función del cristalino es:
A.- Distinguir los colores
B.- Regular la cantidad de luz
C.- Aumentar el tamaño de la imagen
D.- Enfocar los objetos a distancia variable



35.-El fenómeno en el cual ciertos insectos evitan el contacto con la luz ejemplifica el comportamiento animal denominado:
A.- Taxia
B.- Innato
C.- Reflejo
D.- Instintivo



36.-El hecho de que ciertas aves construyan sus nidos sobre las ramas de determinados árboles ejemplifica el tipo de asociación denominado:
A.- Mutualismo
B.- Parasitismo
C.- Neutralismo
D.- Comensalismo



37.-El conjunto de especies que habitan naturalmente un área determinada se denomina:
A.- Biosfera
B.- Población
C.- Comunidad
D.- Ecosistema



38.-¿Cuál de los siguientes ancestros del hombre actual es posiblemente el más antiguo?
A.- El hombre de Neandertal
B.- El hombre de Cro-Magnon
C.- El Australopithecus
D.- El Homo Erectus



39.-El empleo inadecuado de eritromicina para combatir infecciones bacterianas trae como consecuencia que las bacterias:
A.- Sean estimuladas en su crecimiento
B.- Sufran mutaciones ocasionales
C.- Alteren su ciclo de vida
D.- Adquieran resistencia



40.-¿Cuál de los siguientes procedimientos es más adecuado para controlar la contaminación del campo?
A.- Regular la aplicación de fertilizantes
B.- Disminuir el uso de maquinaria complicada
C.- Reducir el uso de máquinas de combustión interna
D.- Implantar sistemas de recirculación de desperdicios



41.-La Teoría de Oparín postula que la vida se:
A.- Desarrolló a partir de la germinación de esporas extraterrestres
B.- Originó a partir de materia orgánica en estado de descomposición
C.- Originó a partir de la evolución de moléculas orgánicas
D.- Desarrolló a partir de organismos ya existentes

Observe el siguiente dibujo:


42.-En los seres vivos, ¿cuáles son las sustancias que facilitan el paso del punto A al punto B en el modelo anterior?


A.- Las enzimas
B.- Las cetonas
C.- Los lípidos
D.- Los alcoholes



43.-¿Cómo se llama la unidad fundamental de estructura de los organismos?
A.- Célula
B.- Tejido
C.- Órgano
D.- Sistema



44.-¿Cuál es el papel que desempeñan las moléculas de ATP en las células?
A.- Mantienen la forma de la célula
B.- Forman parte de la membrana celular
C.- Almacenan la energía necesaria para el metabolismo celular
D.- Dan lugar a las proteínas para que actúen como catalizadores en la célula



45.-¿Cómo participan los lisosomas en la digestión celular?
A.- Eliminando los productos de deshecho
B.- Concentrando los productos de deshecho
C.- Aportando las enzimas que desintegran a los alimentos
D.- Aportando la energía necesaria para romper los alimentos



46.-Las estructuras celulares encargadas de almacenar temporalmente alimentos o material de deshecho se denominan:
A.- Vacuolas
B.- Ribosomas
C.- Centríolos
D.- Centrosomas

Lea el siguiente párrafo:

Si a una planta se le cubre totalmente con cartoncillo negro y se le deja así por un determinado tiempo, sobrevive gracias a la energía obtenida por la combustión de las moléculas de las sustancias de reserva que ha almacenado
47.-¿Cuáles de las siguientes estructuras celulares están implicadas en la utilización de las sustancias de reserva cuando una planta se encuentra en una situación como la anterior?
A.- Los lisosomas
B.- Las mitocondrias
C.- Los cromoplastos
D.- Las vesículas pinocíticas



48.-En un experimento con cloroplastos, se inhibe la enzima encargada de unir el adenosindifosfato con un grupo fosfato para formar moléculas de adenosintrifosfato durante la fotosíntesis. Debido a esto, la energía de los electrones desprendidos por la clorofila se:
A.- Transforma en energía química
B.- Acumula como energía potencial
C.- Almacena como energía cinética
D.- Libera en forma de energía luminosa



49.-¿En cuál de las opciones se menciona correctamente la función del núcleo celular?
A.- Dirige las actividades de la célula debido a la información codificada en las moléculas de ácido desoxirribonucleico
B.- Provoca durante la muerte de la célula la liberación de enzimas lisosomates con lo que la célula se destruye
C.- Promueve la acumulación de las moléculas de grasa en el interior de las vacuolas de la célula
D.- Controla el movimiento de los cilios de la célula



50.-Cuando los nucleótidos del ARN se aparean con las bases del ADN para formar un ARN completo, se inicia la síntesis de compuestos como el indicado en la opción:
A.- Colesterol
B.- Glicerina
C.- Fructuosa
D.- Maltasa



51.-¿Cuál de las siguientes fórmulas generales corresponde a los aminoácidos que forman parte de las proteínas celulares?
A.-
B.-
C.-
D.-



52.-La descendencia de una reproducción asexual, a diferencia de la reproducción sexual, presenta principalmente:
A.- Características morfológicas idénticas a las de sus progenitores
B.- Una mayor adaptación al nicho ecológico de sus progenitores
C.- Diferente contenido genético que el de sus progenitores
D.- Una mayor adaptación al hábitat de sus progenitores



53.-La formación de surcos y el subsecuente estrangulamiento de la célula madre para formar, a partir de ella, dos células hijas se efectúa durante la fase mitótica denominada:
A.- Profase
B.- Anafase
C.- Telofase
D.- Metafase



54.-Al final de la primera profase de la meiosis los cromosomas se:
A.- Hacen visibles
B.- Dirigen hacia los polos
C.- Recombinan genéticamente
D.- Transforman en cromátidas



55.-¿Cuál es el esquema que muestra la forma espirilar de las bacterias?


A.-
B.-
C.-
D.-



56.-¿Cómo se denomina el mecanismo de reproducción bacteriana en el que se forma un puente citoplasmático entre dos bacterias a través del cual realizan su intercambio genético?
A.- Transformación
B.- Transducción
C.- Conjugación
D.- Fisión



57.-¿En cuál opción se describe el proceso en que las bacterias forman endosporas?
A.- Las células bacterianas se unen entre sí a partir de las paredes celulares dando una apariencia de racimo
B.- Los componentes celulares bacterianos se reducen y se cubren con una capa protectora interna
C.- El citoplasma bacteriano se fragmenta provocando la liberación de partículas esféricas
D.- El material genético sufre mitosis y se producen dos células bacterianas



58.-¿Cuáles de los siguientes organismos son capaces de realizar la fijación de nitrógeno durante el ciclo que este gas efectúa en la naturaleza?
A.- Hongos
B.- Euglenas
C.- Bacterias
D.- Protozoarios



59.-Las estructuras de una planta que funcionan como un sistema de conducción de arriba hacia abajo son:
A.- Las traqueidas
B.- Los tubos cribosos
C.- Los radios vasculares
D.- Las fibras esclerenquimatosas



60.-¿En cuál de los siguientes procesos de una planta se observan más claramente las etapas de desarrollo denominadas incremento y división celular?
A.- Germinación
B.- Fotosíntesis
C.- Polinización
D.- Transpiración



61.-El transporte de agua y sales minerales en un árbol se efectúa por el:
A.- Cambium
B.- Duramen
C.- Xilema
D.- Floema



62.-¿Qué papel desempeña la celulosa en los vegetales?
A.- Mantiene la forma del aparato de Golgi
B.- Interviene en el crecimiento celular
C.- Forma parte de las paredes celulares
D.- Regula la liberación de agua



63.-La transpiración en las plantas se efectúa cuando aumenta el tamaño del ostiolo. Este hecho se debe a que las:
A.- Células traqueidas se colapsan
B.- Células estomáticas se dilatan
C.- Lenticelas se contraen
D.- Fibras se plasmolizan



64.-La función de las lenticelas de los vegetales es:
A.- Concentrar deshechos
B.- Almacenar nutrientes
C.- Absorber oxígeno durante la respiración
D.- Absorber sales minerales necesarias para la fotosíntesis



65.-¿Qué causa provoca la asimilación de nutrientes en la célula?
A.- El movimiento al azar de las moléculas
B.- La existencia de un gradiente de concentración
C.- El cambio de permeabilidad de la membrana citoplasmática
D.- La utilización de la energía que contiene el adenosintrifosfato

Lea el siguiente párrafo:

Las moléculas de agua de minerales y de ciertos gases penetran en la raíz de un vegetal debido a que en el exterior la concentración de estas moléculas es mayor que en el interior
66.-¿Cuál es el mecanismo implicado en la función anterior?
A.- Ósmosis
B.- Pinocitosis
C.- Difusión pasiva
D.- Transporte activo



67.-Cuando germinan las esporas de un helecho, dan origen al:
A.- Gameto masculino
B.- Gameto femenino
C.- Prótalo
D.- Soro



68.-Uno de los requisitos previos para que se pueda efectuar la fecundación durante la reproducción de una angiosperma se menciona en la opción:
A.- El desarrollo de la cubierta de la semilla
B.- La formación del tubo polínico
C.- El desarrollo del endospermo
D.- La formación del fruto



69.-¿Qué sucede con las estructuras monoploides del Plasmodium vivax, después de que un mosquito Anopheles infectado se las inocula a un hombre que no tiene las suficientes defensas?
A.- Se dividen asexualmente dentro de los glóbulos rojos
B.- Se trasladan hacia las glándulas salivales
C.- Se transforman en gametos
D.- Se transforman en quistes



70.-La lombriz de tierra para ingerir sus alimentos hace uso de la estructura denominada:
A.- Tentáculo
B.- Coanocito
C.- Ósculo
D.- Labio



71.-Durante el ciclo reproductor de Obelia, la estructura ciliada que se forma después de que el cigoto se ha segmentado se denomina:
A.- Medusa
B.- Planuda
C.- Pólipo reproductor
D.- Pólipo gastrozoide



72.-¿Por cuál de las siguientes estructuras se transmiten los impulsos nerviosos en la planaria?
A.- Red nerviosa
B.- Tronco nervioso
C.- Cordón nervioso
D.- Ganglio nervioso



73.-La importancia de las células collar de las esponjas radica en que:
A.- Forman corrientes hacia el interior y el exterior del organismo permitiendo el transporte de los nutrientes y las sustancias de deshecho
B.- Permiten el intercambio de oxígeno a través de su membrana con el fin de repartirlo a cada una de las células del organismo
C.- Inician el proceso de mitosis necesario para la división asexual durante la etapa de reproducción del organismo
D.- Concentran el bióxido de carbono producido durante el metabolismo del organismo hasta el momento de la excreción



74.-La respiración de la langosta, difiere de la del saltamontes porque en éste último el oxígeno llega hasta:
A.- Los sacos aéreos
B.- Las branquias plumosas
C.- Las cavidades alveolares
D.- Los filamentos branquiales



75.-La sustancia gelatinosa que rodea a los óvulos de la rana sirve para:
A.- Alimentar al embrión
B.- Evitar que sean comidos
C.- Facilitar su maduración
D.- Atraer a los gametos masculinos

Lea el siguiente párrafo:

Cuando un individuo sufre una hemorragia severa se produce una intensa vasoconstricción en el área visceral que mantiene constante la cantidad de sangre que entra al corazón
76.-En la situación anterior actúa un mecanismo del tipo llamado:
A.- Hemático
B.- Hemolítico
C.- Homeotérmico
D.- Homeostático



77.-¿En cuál de los siguientes casos se establece una comunicación a base de ectohormonas?
A.- Un ganso previene a su parvada de un peligro
B.- Un pollito avisa a la gallina que tiene hambre
C.- Una mariposa hembra atrae al macho para reproducirse
D.- Una abeja informa a la colmena que ha encontrado alimento



78.-¿En cuál de los siguientes enunciados se menciona un comportamiento animal de tipo innato?
A.- Las ardillas esconden sus nueces para poder sobrevivir en el invierno
B.- Algunas aves de rapiña reconocen el sitio en donde cazaron a sus presas
C.- Los pájaros pinzones tienen facilidad para aprender a cantar oyendo a otros de su especie
D.- Algunos mandriles machos tienen dominio sobre los demás miembros de la sociedad para conservar el mando

Lea lo siguiente:

En un laboratorio se hizo un experimento con ratones que consistía en que al momento de colocar un alimento en su jaula, ésta era iluminada con una luz verde. Después de repetir el proceso en varias ocasiones, se observó que con solo iluminar la jaula los ratones salivaban
79.-¿Cuál de los siguientes científicos realizó experimentos similares al anterior?
A.- Fabre
B.- Lorenz
C.- Frisch
D.- Pavlov



80.-Para clasificar a un organismo por el sistema natural es necesario tomar en cuenta principalmente su:
A.- Hábitat
B.- Morfología
C.- Tipo de reproducción
D.- Distribución geográfica



81.-El nivel de organización de la ecoesfera que comprende exclusivamente el estudio de los seres vivos de un área determinada se denomina:
A.- Ecosistema
B.- Población
C.- Comunidad
D.- Biosfera



82.-La fuente de variación biológica que se ha inducido artificialmente en especies de importancia económica como el tabaco o el trigo es la:
A.- Reproducción diferencial
B.- Poliploidía cromosómica
C.- Recombinación genética
D.- Aberración cromosómica

Observa lo siguiente:


83.-De acuerdo con la trama alimentaria anterior, si desapareciera la población de halcones habría:


A.- Un aumento de pastos
B.- Un aumento de pájaros
C.- Una disminución de zorros
D.- Una disminución de conejos

Lea lo siguiente:

Existe cierta especie de anémona de mar que vive en el caparazón del cangrejo.
La anémona se beneficia teniendo acceso al alimento atrapado, esparcido y desechado por el cangrejo, en cambio éste recibe la protección que le presta la anémona.
84.-En el párrafo anterior se hace referencia al tipo de asociación llamado:
A.- Mutualismo
B.- Parasitismo
C.- Comensalismo
D.- Inquilinismo



85.-Durante el proceso evolutivo, la Selección Natural es el mecanismo que actúa sobre las especies provocando directamente que éstas:
A.- Sean capaces de invadir una gran diversidad de hábitat
B.- Alcancen comportamientos con un alto grado de especialización
C.- Logren desarrollar variables favorables que les permitan adaptarse a su medio
D.- Presenten modificaciones en su código genético cuando existan cambios ambientales drásticos



86.-Uno de los hechos que permitió a Darwin establecer el principio de la Selección Natural fue el estudio de:
A.- Las diferentes especies de tortugas que conservaron invariables sus hábitos alimenticios
B.- La población de pinzones que tienen diferente estructura y hábitos alimenticios similares
C.- La población de pinzones que se diversificó al ocupar nichos que normalmente habitaban otras especies
D.- Las diferentes especies de tortugas que permanecieron en un mismo nicho sin sufrir variaciones estructurales

Observe lo siguiente:


87.-Los personajes del dibujo anterior representan lo que biológicamente se conoce con el nombre de:


A.- Familia
B.- Sociedad
C.- Comunidad
D.- Agrupación

Lea lo siguiente:

En una región cerca de Nueva Orleáns, existen dos especies de rana:
la de árbol gris (H. versicolor) y
la de árbol de los bosques (H. femoralis).
La primera se alimenta de insectos voladores y
la segunda de insectos rastreros.
Con frecuencia, ambas especies se crían en los mismos charcos y presentan en general escasas diferencias morfológicas.
La rana de árbol gris macho llama a su pareja con un croar corto, ruidoso y resonante, mientras que la rana de árbol de los bosques lo hace
con varios sonidos cortos y largos muy sonoros
88.-De acuerdo con lo anterior, ¿sería posible que ambos tipos de rana se cruzaran entre sí y llegaran a formar una nueva especie?
A.- Sí, porque ambas comparten hábitat similares
B.- No, porque ambas consumen diferentes tipos de alimento
C.- Si, porque ambas presentan rasgos morfológicos parecidos
D.- No, porque ambas presentan diferente comportamiento durante el cortejo



89.-¿En cuál opción se menciona una de las pruebas indirectas en que se apoya la teoría de la evolución biológica?
A.- El cambio en la pigmentación mostrado por las polillas moteadas
B.- El estudio de las homologías que presentan algunas estructuras de organismos
C.- El cambio estructural que han mostrado algunos organismos domesticados por el hombre
D.- El desarrollo de resistencia a ciertos antibióticos presentado por algunas bacterias patógenas



90.-Una característica que diferencía al Homo Erectus del Australopithecus es que el primero:
A.- Desconocía el uso del fuego
B.- Utilizaba vegetales para alimentarse
C.- Empleaba flechas de hueso para la caza
D.- Transmitía el diseño de herramientas de una generación a otra



91.-¿En cuál de las siguientes opciones están ordenados cronológicamente los ancestros del hombre actual?
A.- Australopithecus Paranthropus Hombre de Neanderthal Hombre de Pekín
B.- Australopithecus Hombre de Java Hombre de Neanderthal Hombre de Cro-magnon
C.- Paranthropus Australopithecus Hombre de Cro-magnon Hombre de Neanderthal
D.- Paranthropus Hombre de Java Hombre de Cro-magnon Hombre de Neanderthal



92.-Durante el desarrollo embrionario del hombre, la formación del sistema nervioso primitivo se lleva a cabo:
A.- Durante la quinta semana
B.- Durante la séptima semana
C.- Al empezar la sexta semana
D.- Al empezar la cuarta semana

Cuando Mendel dejó crecer las semillas F; dihibridas:

RrAa(R=redonda; r=rugosa. A=Amarilla; a=verde) y propició que se autofecundaran
93.-encontró que las semillas que aparecieron en mayor proporción fueron las que presentaron el fenotipo:
A.- Rugosa-verde
B.- Redonda-verde
C.- Rugosa-amarilla
D.- Redonda-amarilla



94.-En los conejillos de indias, el pelo negro (NN) es dominante con respecto al pelo blanco (nn). ¿Cómo será la progenie de la primera generación filial cuando se cruce un macho homocigótico de pelo negro con una hembra de pelo blanco?
A.- Todos de pelo gris
B.- Todos de pelo negro
C.- La mitad de pelo negro y la mitad de pelo blanco
D.- La cuarta parte de pelo blanco y las tres cuartas partes de pelo negro



95.-¿Cuál de las siguientes características puede heredar un pintor a su hijo?
A.- La forma de coger los pinceles
B.- La afición hacia los murales
C.- La afición por los paisajes
D.- La forma de las manos



96.-Durante un arco reflejo simple, los impulsos que llegan de los receptores son transmitidos hacia el centro coordinador a través de la:
A.- Superficie sensitiva
B.- Neurona aferente
C.- Neurona motora
D.- Médula espinal



97.-¿En cuál de las siguientes estructuras del sistema nervioso se encuentra el centro encargado de controlar la temperatura del cuerpo?
A.- La corteza cerebral
B.- La médula oblonga
C.- El hipotálamo
D.- El cerebelo



98.-Los quimiorreceptores de una persona se estimularán al momento de:
A.- Aplicarse gotas en el oído
B.- Aplicarse suero en la vena
C.- Fracturarse un brazo
D.- Tomarse un jarabe



99.-¿Cuáles son los orgánulos que están adheridos al retículo endoplasmático rugoso y que intervienen en la síntesis de las proteínas?
A.- Ribosomas
B.- Centríolos
C.- Mitocondrias
D.- Cromoplastos



100.-Las moléculas que optimizan el aprovechamiento de energía en las mitocondrias son:
A.- Las enzimas
B.- Los glúcidos
C.- Los carbohidratos
D.- Las lipoproteínas



101.-La insulina del cerdo difiere de la del buey. Esta diferencia se encuentra codificada a nivel de:
A.- DNA
B.- RNA
C.- Polisoma
D.- Centríolo

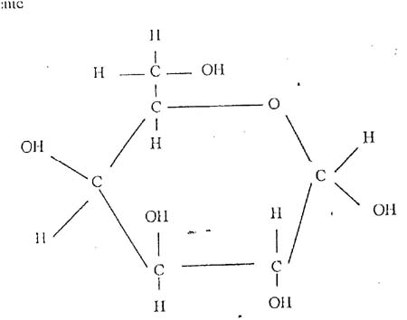
Observe la siguiente estructura molecular:


102.-La estructura molecular anterior corresponde a la:


A.- Fructosa
B.- Arginina
C.- Glicina
D.- Maltosa



103.-En las reacciones controladas por enzimas, la energía almacenada en las moléculas se libera gradualmente debido a que las enzimas:
A.- Se van destruyendo durante la reacción
B.- Funcionan como cadenas de rompimiento
C.- Tienen muy poca actividad
D.- Carecen de especificidad



104.-¿Qué les sucede a los cromosomas en la profase final del proceso de mitosis?
A.- Se alinean en el centro
B.- Se dirigen hacia los polos
C.- Se dividen longitudinalmente
D.- Se tornan ligeramente espirales



105.-¿Cuál de los siguientes fenómenos se efectúa durante la telofase de la mitosis?
A.- Se forma una placa ecuatorial en el centro de la célula
B.- Los cromosomas filamentosos se dividen en forma longitudinal
C.- Se presenta un surco que divide longitudinalmente a la célula
D.- Los cromosomas adquieren la forma de una estrella plana irregular



106.-La característica viral que induce la patogenicidad en los virus es:
A.- La capa proteica
B.- El ácido nucleico
C.- La forma que presentan
D.- El tamaño que presentan



107.-El mecanismo de reproducción bacteriana denominado transformación, consiste en la:
A.- Transmisión de DNA de una célula a otra, donde un virus cumple el papel de acarreador
B.- Transferencia de DNA entre dos células a través de un puente citoplasmático
C.- Introducción de DNA procedente de células muertas a células vivas
D.- Formación de brotes de DNA en ciertas regiones de la célula



108.-Durante el ciclo del nitrógeno, los organismos que intervienen en la etapa de la fijación del nitrógeno atmosférico son:
A.- Los hongos
B.- Las algas rojas
C.- Los protozoarios
D.- Las algas verde-azules

A continuación se enlistan algunos de los fenómenos que se llevan a cabo en las estomas durante el proceso de transpiración:

I.- Apertura del ostiolo
II.- Plasmólisis
III.- Evaporación
IV.- Turgencia
109.-¿Cuál es la secuencia que se presenta durante la transpiración de las plantas?
A.- II, III, IV y I
B.- IV, I, III y II
C.- I, IV, III y II
D.- III, II, IV y I



110.-Las plantas toman el oxígeno del aire a través de las siguientes estructuras, EXCEPTO la señalada con la letra:
A.- Raíces
B.- Estomas
C.- Lenticelas
D.- Traqueidas



111.-Durante el ciclo de vida de Obelia, los óvulos y los espermatozoides son producidos por:
A.- Los pólipos
B.- Las medusas
C.- Las planudas
D.- Los tentáculos



112.-A diferencia del proceso digestivo de la hidra, la esponja lo efectúa mediante:
A.- Células flageladas que mueven las partículas alimenticias en la cavidad digestiva
B.- Una cavidad gastrointestinal que actúa como receptáculo de los alimentos
C.- Una estructura moledora que pulveriza el alimento previamente triturado
D.- Células collar que descomponen las partículas alimenticias en su interior



113.-Durante el trayecto del impulso a través de un arco reflejo complejo, la médula espinal actúa como:
A.- Efector
B.- Receptor
C.- Ajustador
D.- Modulador



114.-En el estómago del hombre se inicia la desintegración de las proteínas en cadenas cortas de aminoácidos por intervención de la enzima denominada:
A.- Lipasa
B.- Amilasa
C.- Maltasa
D.- Pepsina



115.-¿Cuál de los siguientes animales utiliza el órgano denominado siringe para producir sonidos y lograr comunicarse con los demás individuos de su especie?
A.- Murciélago
B.- Gorrión
C.- Grillo
D.- Cigarra



116.-En las siguientes situaciones intervienen mecanismos homeostáticos, EXCEPTO en la señalada con la letra:
A.- Huir cuando hay peligro
B.- Descansar cuando hay fatiga
C.- Cerrar los párpados cuando molesta la luz
D.- Sentir calor cuando aumenta la temperatura



117.-Los ganglios linfáticos del hombre actúan como:
A.- Destructores de microbios
B.- Productores de anticuerpos
C.- Filtros para retener bacterias
D.- Productores de toxinas para las bacterias



118.-Durante el proceso digestivo del hombre, las sustancias no digeribles, el agua y otros compuestos no absorbidos pasan a la estructura denominada:
A.- Apéndice
B.- Páncreas
C.- Duodeno
D.- Colon



119.-¿Cuál de las siguientes enfermedades se puede presentar en un hombre que tenga deficiencia de vitamina D?
A.- Escorbuto
B.- Beri-beri
C.- Raquitismo
D.- Anemia perniciosa



120.-¿Cuál de las siguientes enfermedades puede heredar una persona de sus progenitores?
A.- Pelagra
B.- Mixedema
C.- Hemofilia
D.- Acromegalia



121.-¿Cuál de las siguientes ramas de la biología proporciona evidencias directas de la Teoría de la Evolución?
A.- Taxonomía
B.- Embriología
C.- Paleontología
D.- Anatomía comparada



122.-A diferencia del Hombre de Cromagnon, el Paranthropus:
A.- Utilizó trozos de madera para desenterrar las raíces profundas
B.- Fabricó collares para el cuerpo utilizando colmillos de mamut
C.- Elaboró finamente utensilios de hueso y piedra
D.- Presentó un cerebro grande que le permitió un razonamiento complicado

Observe el siguiente dibujo:

Las dos poblaciones del dibujo anterior originalmente pertenecían a la misma especie. Sin embargo, al paso del tiempo, la Selección Natural actúo en mayor grado sobre la población A, de tal manera que los individuos fueron difiriendo cada vez más hasta que se formó una nueva especie a partir de la población A
123.-El proceso primario que se dio en este ejemplo de especificación fue:


A.- La Poliploidía
B.- El aumento de nichos
C.- La separación geográfica
D.- El aislamiento reproductor



124.-El agrupamiento de organismos de la misma especie en que, por lo general, las hembras adultas cuidan a los pequeños, los enseñan a defenderse y los alimentan hasta que son capaces de independizarse se conoce como:
A.- Hato
B.- Familia
C.- Cardume
D.- Sociedad



125.-Uno de los problemas al que el hombre se ha enfrentado debido a la constante práctica del monocultivo ha sido:
A.- La obtención de cosechas de baja calidad
B.- El alto requerimiento de agua en los cultivos
C.- El crecimiento acelerado de plantas indeseables
D.- La concentración de compuestos químicos en los vegetales



126.-¿Cuál de las siguientes opciones menciona una medida para reducir en mayor grado la contaminación atmosférica?
A.- Reforestar los parques en las ciudades
B.- Incinerar la materia orgánica en descomposición
C.- Adaptar los basureros a los alrededores de las ciudades
D.- Reducir la fabricación de motores de combustión interna

Lea lo siguiente:

Una persona presenta una inflamación de la encía provocada por estreptococos, por lo que se le indica administrarse penicilina inyectada hasta contrarrestar la infección. Al cabo de un tiempo se observa que la inflamación persiste, aún cuando la persona se administra más antibiótico
127.-Lo anterior puede deberse a:
A.- Que el antibiótico es inadecuado
B.- Una mala vía de administración del antibiótico
C.- Que las bacterias presentan resistencia al antibiótico
D.- Una estimulación del crecimiento de las bacterias debido al antibiótico



128.-¿Cuál es la función de los centríolos en la célula?
A.- Intervenir en la formación de las fibras del huso mitótico
B.- Degradar las sustancias nutritivas durante la digestión
C.- Obtener energía a partir de compuestos químicos
D.- Participar en la síntesis de proteínas



129.-La función del almidón dentro de la célula vegetal es:
A.- Proporcionar energía
B.- Dar rigidez a las paredes
C.- Romper enlaces peptídico
D.- Incorporar sustancias alimenticias



130.-La transformación de la energía lumínica durante la fotosíntesis es resultado de la excitación de una molécula de:
B.- Glucosa
A.- Agua
C.- Clorofila
D.- Bióxido de carbono



131.-¿Cuál de los siguientes criterios utiliza la taxonomía natural para clasificar a los seres vivos?
A.- Las diferencias que presentan a nivel molecular algunas de sus proteínas
B.- Las semejanzas que presentan en su morfología externa
C.- Las diferencias que presentan en su nicho ecológico
D.- Las semejanzas que presentan en su comportamiento



132.-Una de las condiciones que se deben cumplir para que dos poblaciones de animales puedan originar una nueva especie es que:
A.- Presenten diferencias anatómicas en sus órganos para la cópula
B.- Lleguen a compartir el mismo nicho ecológico
C.- Sean capaces de competir por su hábitat
D.- Presenten aislamiento genético



133.-¿Cuál de las siguientes sustancias penetran a la célula por transporte activo?
A.- Las grasas
B.- Los almidones
C.- Las sales minerales
D.- Los ácidos nucleicos

En el ciclo del nitrógeno


134.-¿de qué manera participan las bacterias del género Rhizobium localizadas en las raíces de ciertas leguminosas?
A.- Liberan hacia la atmósfera el nitrógeno contenido en las sustancias de deshecho de las plantas
B.- Extraen el nitrógeno contenido en el amoniaco procedente de las células muertas de las raíces
C.- Conducen hacia el tallo el nitrógeno de las sales presentes en las células de las raíces
D.- Transforman el nitrógeno atmosférico en nitritos y nitratos útiles para las plantas



135.-En la circulación de la lombriz de tierra, las estructuras que permiten que la sangre se mueva en un solo sentido se denominan:
A.- Válvulas
B.- Arcos aórticos
C.- Vasos sanguíneos dorsales
D.- Vasos sanguíneos ventrales

Lea la siguiente situación hipotética:

Durante un experimento le fue extraído el timo a un grupo de ratas y se les inyectó virus atenuados de la hepatitis; a otro grupo de ratas no se les quitó la glándula, pero sí se les administró virus atenuados. Después de una semana, las ratas sin glándula habían contraído la enfermedad, en tanto que las otras estaban sanas
136.-En el experimento anterior, la extracción glandular provocó en las ratas la:
A.- Digestión lisosomal del DNA invasor por las células del hígado
B.- Inhibición de la respiración mitocondrial en las células del hígado
C.- Inhibición en la formación de células encargadas de la producción de anticuerpos contra los antígenos
D.- Alteración a nivel del RNA mensajero de las células que forman los anticuerpos, provocando una reacción antígeno-anticuerpo deficiente



137.-¿Cuál de los siguientes estudiantes, por su afirmación, demuestra que las plantas respiran?


A.-
B.-
C.-
D.-



138.-En el hombre, el intercambio de alimentos y productos de deshecho en las células es realizado por el:
A.- Aparato respiratorio
B.- Sistema circulatorio
C.- Aparato reproductor
D.- Sistema muscular



139.-Una persona adquiere inmunidad activa cuando le:
A.- Administran un antihistamínico contra la gripa
B.- Administran una vacuna contra la poliomielitis
C.- Inyectan antibiótico contra la fiebre reumática
D.- Inyectan un suero contra la rabia



140.-La posibilidad de que los huesos sufran fracturas por un traumatismo se debe, entre otros factores, a un desajuste en la glándula denominada:
A.- Paratiroides
B.- Suprarrenal
C.- Páncreas
D.- Tiroides



141.-Una de las funciones que realiza el tálamo del cerebro humano es:
A.- Controlar en el organismo las funciones involuntarias
B.- Controlar el equilibrio del organismo
C.- Coordinar el movimiento del organismo
D.- Impulsar el organismo hacia el enojo



142.-Durante el ciclo vital del musgo, la estructura que da origen directamente a las plantas masculina y femenina es el:
A.- Cigoto
B.- Esporangio
C.- Gametofito joven
D.- Esporofito maduro



143.-Durante el desarrollo embrionario de la rana, el esbozo del aparato digestivo se forma cuando:
A.- Las células del labio dorsal se invaginan
B.- Las células del mesodermo se dividen
C.- El blastocele se segmenta
D.- El ectodermo se alarga



144.-¿Cuál será el porcentaje de heterocigotos que resultaría de la autofecundación de una planta de chícharos de condición heteróciga para el color verde (Aa)?
A.- 100%
B.- 75%
C.- 50%
D.- 25%



145.-En la calabaza el color blanco (B) es dominante sobre el amarillo (b). Si se cruza una planta blanca (Bb) con una amarilla (bb), ¿en qué porcentaje aparecerá el color blanco?
A.- 100%
B.- 75%
C.- 50%
D.- 25%



146.-¿Qué combinación del factor Rh deberá existir entre la sangre del hijo y de la madre, respectivamente, para que en un tercer embarazo exista la posibilidad de una destrucción de los glóbulos rojos de éste?
A) +/-
B) -/-
C) -/+
D) +/+



147.-Algunas propiedades químicas de las sustancias se logran identificar a través de los receptores nerviosos que se encuentran en:
A.- La retina
B.- La lengua
C.- El tejido epitelial
D.- El tejido conjuntivo



148.-La velocidad con que ejecutan la danza circular las abejas obreras indica a las otras la:
A.- Zona del alimento
B.- Riqueza del alimento
C.- Dirección del alimento
D.- Distancia del alimento



149.-El canto que ciertas aves utilizan para atraer a las hembras es un comportamiento de tipo:
A.- Taxia
B.- Reflejo
C.- Aprendido
D.- Instintivo

Observe la siguiente trama alimentaria:


150.-El papel que desempeña el león en la trama alimentaria anterior es de:


A.- Productor
B.- Desintegrador
C.- Consumidor primario
D.- Consumidor secundario

Observe la siguiente ecuación:

Para que la reacción anterior se lleve a cabo se requiere de la intervención de la catalasa, la cual actúa sin sufrir cambio alguno en su estructura
151.-¿A cuál de los siguientes grupos de compuestos pertenece la catalasa?


A.- Aminas
B.- Enzimas
C.- Cetonas
D.- Aldehídos



152.-En el hombre, una forma de estimular los quimiorreceptores se manifiesta al:
A.- Pasar la mano sobre el hielo
B.- Penetrar a un cuarto iluminado
C.- Ingerir el zumo de varios limones
D.- Caminar descalzo en un terreno con piedras



153.-¿Cuáles de las siguientes células presentan mayor número de mitocondrias por la actividad que realizan?
A.- Las del músculo cardiaco
B.- Las del tubo digestivo
C.- Las hepáticas
D.- Las nerviosas



154.-¿Cuál de los siguientes azúcares proporciona la mayor cantidad de energía a los organismos?
A.- Glucosa
B.- Lactosa
C.- Maltosa
D.- Fructosa



155.-Si se inactivara el RNA de una célula, se bloquearía principalmente la:
A.- División meiótica
B.- Respiración anaerobia
C.- Información para la elaboración de enzimas
D.- Absorción de energía luminosa para la fotosíntesis



156.-Uno de los criterios más modernos que toman como base los taxónomos para clasificar los organismos está señalado en la opción:
A.- La longevidad
B.- El ancestro común
C.- La fisiología de los órganos
D.- La estructura bioquímica de las células



157.-Una diferencia que existe entre el Homo Sapiens y el Homo Erectus es que éste presenta:
A.- Frente más ancha
B.- Pelvis más larga
C.- Huesos más gruesos
D.- Mandíbulas más pesadas



158.-De las siguientes entidades biológicas, ¿cuáles son las que invariablemente presentan simetría helicoidal, cúbica y compleja?
A.- Las algas
B.- Los virus
C.- Las bacterias
D.- Los protozoarios



159.-La fase asexual en el ciclo de vida del plasmodium se efectúa en:
A.- Los leucocitos del huésped
B.- Los glóbulos rojos del huésped
C.- Las glándulas salivales del mosquito
D.- Las células intestinales del mosquito



160.-¿En cuál opción se indica la manera en que se reproducen asexualmente dos protozoarios del género Paramecium?
A.- El citoplasma se fragmenta en partes iguales y cada porción contiene un micro núcleo y parte del macro núcleo
B.- Los macro núcleos se fragmentan en dos partes iguales y cada micro núcleo sufre mitosis
C.- Los micro núcleos son intercambiados a través de un puente citoplasmático
D.- El puente citoplasmático intercambia los macro núcleos de una célula a otra

El siguiente dibujo representa una amiba que fogosita cuatro partículas.


161.-¿Cuál de esas partículas requiere ser descompuesta por las enzimas de la amiba para ser aprovechada por ésta?


A.-
B.-
C.-
D.-



162.-Cuando hay mucha agua en las hojas de las plantas, ésta se elimina mediante la función denominada:
A.- Filtración
B.- Respiración
C.- Evaporación
D.- Transpiración



163.-Durante el proceso digestivo del hombre, la estructura que regula el paso de alimento al duodeno es:
A.- La faringe
B.- El esófago
C.- La vesícula biliar
D.- El esfínter pilórico



164.-¿Cuál de las siguientes personas, por la acción que realiza, secretará mayor cantidad de adrenalina?
A.- Emma al ingerir vitaminas periódicamente
B.- Irene al escribir a máquina diariamente
C.- María al aflojar repentinamente los brazos cuando carga una caja muy pesada
D.- Paty al frenar su carro intempestivamente cuando se le atraviesa una persona

En el sistema nervioso del hombre, el _____________regula y coordina directamente la contracción de los músculos.


165.-Elija la palabra que completa correctamente el párrafo anterior
A.- Tálamo
B.- Cerebelo
C.- Hipotálamo
D.- Bulbo raquídeo



166.-¿En cuál de las siguientes situaciones se puede observar mejor un mecanismo homeostático?
A.- Un joven juega un partido de fútbol
B.- Una señora lee un libro científico
C.- Una niña empieza a gatear
D.- Un niño hace un dibujo



167.-La vitamina K es importante en el organismo para evitar:
A.- Resequedad en la piel
B.- Sangrado en las encías
C.- Retardo en la coagulación
D.- Inflamación de las articulaciones



168.- En las siguientes opciones se mencionan algunas características que un padre le puede heredar a su hijo, EXCEPTO la señalada con la letra:
A.- El color del cabello
B.- El tamaño de la nariz
C.- La afición por un deporte
D.- La forma de los dientes



169.-En el ciclo de vida del helecho, a partir del gametofito maduro se desarrollan los:
A.- Tallos
B.- Cigotos
C.- Esporangios
D.- Órganos reproductores



170.-Entre los individuos de una misma especie se establece una división del trabajo y por consiguiente una jerarquización. Éste fenómeno se denomina:
A.- Sociedad
B.- Cardume
C.- Bandada
D.- Hato



171.-¿Cuál de los siguientes organismos tiene ojos formados por estructuras cónicas que transforman la luz formando una imagen borrosa y en mosaico?
A.- Rana
B.- Búho
C.- Mosca
D.- Pulpo

A un cultivo agrícola invadido por áfidos (pequeños insectos chupadores que se alimentan de libélulas), se le aplicó DDT durante un año para combatirlos. Lo que sucedió se resume en el siguiente esquema:


172.-¿Cuál de las siguientes opciones completa correctamente el esquema anterior?


A.- Las libélulas fueron eliminadas
B.- Las libélulas se trasladaron a otro hábitat
C.- Los áfidos y las libélulas se volvieron resistentes a los insecticidas
D.- Los nichos dejados por las libélulas fueron ocupados por los áfidos



173.-¿Cuál de las siguientes parejas de organismos forma parte de una sociedad?
A.- El alga y el hongo
B.- El ácaro y el conejo
C.- La rémora y el tiburón
D.- La obrera y el zángano



174.-Las siguientes medidas ayudan a controlar la contaminación ambiental, EXCEPTO la señalada con la letra:
A.- Disminuir el uso de insecticidas
B.- Instalar plantas purificadoras de agua
C.- Distribuir las fábricas en diferentes zonas
D.- Disminuir el número de automóviles circulantes



175.-A diferencia del Australopithecus, el Homo Erectus se caracterizó por:
A.- Presentar un mayor poder de retención mental
B.- Comunicarse por medio de un lenguaje hablado
C.- Fabricar adornos para el cuerpo
D.- Construir guaridas con pieles



176.-El organismo celular al que se le atribuye la función de almacenar las enzimas digestivas se denomina:
A.- Ribosoma
B.- Lisosoma
C.- Centríolo
D.- Retículo endoplásmico



177.-La estructura que se encarga del control de las funciones celulares es el:
A.- Retículo endoplásmico
B.- Aparato de golgi
C.- Citoplasma
D.- Núcleo



178.-En la célula, el núcleo desempeña las siguientes funciones, EXCEPTO la señalada con la letra:
A.- Controla su crecimiento
B.- Interviene en su división
C.- Aporta los aminoácidos para la síntesis de proteínas
D.- Produce el RNA necesario para la síntesis de proteínas



179.-En un experimento se aislaron mitocondrias de células de hígado de rata; después de poco tiempo las células murieron. Esto se debió a que al extraer las mitocondrias:
A.- No hubo producción de energía
B.- No hubo producción de proteínas
C.- Escaseó la concentración intracelular del oxígeno
D.- Disminuyó la concentración intracelular de carbohidratos



180.-¿De cuál de las siguientes moléculas toma la célula la energía para realizar sus funciones?
A.- Ácido desoxirribonucléico
B.- Ácido ribonucléico
C.- Adenosintrifosfato
D.- Acetilcolina



181.-Las células, para poder realizar sus funciones, obtienen energía a partir de la molécula de:
A.- Ácido pirúvico
B.- Ácido glutámico
C.- Difosfato de adenosina
D.- Trifosfato de adenosina



182.-¿Cuál de las siguientes células, por la función que desempeñan, un mayor número de mitocondrias?
A.- Las óseas
B.- Las adiposas
C.- Las cardíacas
D.- Las endoteliales



183.-¿Cuál de las siguientes estructuras moleculares recibe el nombre de glucosa?


A.-
B.-
C.-
D.-



184.-La síntesis de proteínas comienza cuando el RNA:
A.- Pasa su información al DNA
B.- Toma el mensaje del DNA
C.- Se acopla a un ribosoma
D.- Se une a un aminoácido



185.-Los iones de sodio penetran a la célula por medio del mecanismo llamado:
A.- Difusión
B.- Plasmólisis
C.- Capilaridad
D.- Transporte activo

Observe lo siguiente:


186.-La fórmula estructural anterior representa a la molécula de:


A.- Glicina
B.- Arginina
C.- Sacarosa
D.- Galactosa



187.-¿En cuál de los siguientes enunciados se define el proceso de ósmosis?
A.- Es el flujo de un solvente en los espacios extracelulares
B.- Es el paso de un solvente a través de una membrana semipermeable
C.- Es el desplazamiento de sales al interior de la célula
D.- Es el transporte de partículas gaseosas hacía una zona de alta concentración



188.-Durante la digestión celular el papel de las enzimas es:
A.- Transformar los alimentos en sustancias sencillas
B.- Transformar los alimentos en energía
C.- Almacenar los alimentos complejos
D.- Elaborar sustancias alimenticias



189.-¿En qué fase del proceso de la meiosis se presenta la formación de tétradas y el intercambio genético?
A.- Profase media
B.- Profase final
C.- Metafase
D.- Anafase



190.-¿En cuál de las siguientes fases de meiosis se originan cuatro células haploides?
A.- Anafase de la segunda división meiótica
B.- Profase de la primera división meiótica
C.- Telofase de la segunda división meiótica
D.- Metafase de la primera división meiótica



191.-De las siguientes entidades biológicas, ¿cuáles son las que invariablemente presentan simetría helicoidal, cúbica y compleja?
A.- Las algas
B.- Los virus
C.- Las bacterias
D.- Los protozoarios



192.-Los agentes biológicos que están constituidos exclusivamente por ácidos nucleicos y proteínas se denominan:
A.- Bacterias
B.- Hongos
C.- Algas
D.- Virus



193.-Un virus que ataca una célula manifiesta su patogenicidad principalmente cuando:
A.- El virus se adhiere a la célula infectada inyectándole suácido nucleico
B.- El virus se apodera del material enzimático de la célula infectada
C.- La célula infectada se deshidrata
D.- La célula infectada se rompe



194.-Se dice que un virus es patógeno porque es capaz de:
A.- Producir toxinas en el organismo
B.- Penetrar en el organismo
C.- Paralizar la célula
D.- Destruir la célula



195.-Una de las maneras en que actualmente se ha logrado controlar ciertas enfermedades humanas provocadas por virus consiste en:
A.- Promover la formación de proteínas específicas que actúan como anticuerpos contra los virus
B.- Administrar antibióticos que actúan sobre los virus destruyéndoles su sistema enzimático
C.- Inocular virus en estado de lisogenia que sean reconocidos por los macrófagos
D.- Aplicar antihistamínicos que evitan la auto duplicación de los virus



196.-Las bacterias esféricas que se unen formando largas cadenas reciben el nombre de:
A.- Bacilos
B.- Espirilos
C.- Estreptococos
D.- Estafilococos



197.-¿Cuál de los siguientes esquemas representa las bacterias llamadas estreptococos?


A.-
B.-
C.-
D.-



198.-Un mecanismo mediante el cual las bacterias enriquecen su contenido genético con información viral es la:
A.- Conjugación
B.- Bipartición
C.- Transducción
D.- Transformación



199.-¿Cuál de las siguientes opciones menciona un cambio que sufren las bacterias al transformarse en endosporas?
A.- Aumento considerable del citoplasma
B.- Aumento del grosor de la pared celular
C.- Reducción considerable del metabolismo
D.- Formación de una nueva membrana celular



200.-La mayoría de las bacterias, para reproducirse de manera asexual, pueden emplear los siguientes mecanismos, EXCEPTO el indicado en:
A.- Propagación vegetativa
B.- Fisión binaria
C.- Esporulación
D.- Gemación



201.-En las plantas, los nutrientes penetran junto con el agua a través de los pelos radicales debido al fenómeno de:
A.- Absorción facilitada
B.- Presión de turgencia
C.- Flujo por corriente
D.- Absorción pasiva



202.-En los vegetales, el transporte de sustancias alimenticias de las hojas al resto de la planta se realiza a través:
A.- Del floema
B.- Del cambium
C.- De la albura
D.- De la traqueola



203.-El tejido de conducción en donde abundan los vasos cribosos se llama:
A.- Xilema
B.- Floema
C.- Albura
D.- Cambium



204.-La ventaja principal que presenta la producción sexual sobre la asexual es que en la primera:
A.- Hay producción de yemas
B.- Los gametos son iguales
C.- Hay intercambio genético
D.- Los descendientes son homocigotos



205.-¿En cuál opción se describe la manera en que se forman las endosporas bacterianas?
A.- En la célula se forma una cubierta que evita la desecación
B.- Los cromosomas se duplican y se separan para formar dos células
C.- En la célula se forma una prolongación por donde se liberan partículas esféricas
D.- Los componentes de las células se reducen y se cubren con una capa protectora interna



206.-Durante el ciclo de vida del musgo, las plantas femeninas y las masculinas se originan a partir del:
A.- Esporofito joven
B.- Gametofito joven
C.- Esporofito maduro
D.- Gametofito maduro



207.-Durante la reproducción de las angiospermas, el endospermo se forma cuando:
A.- Las células monoploides pasan por la etapa de mitosis
B.- Las paredes del óvulo empiezan a endurecerse
C.- La punta del tubo polínico llega al ovario
D.- La célula triploide se empieza a dividir



208.-La diferencia del gradiente de concentración entre la raíz de una planta y el exterior, hace que los pelos radicales:
A.- Absorban agua y minerales
B.- Aceleren el transporte activo
C.- Disminuyen la absorción pasiva
D.- Sinteticen almidones y proteínas



209.-¿En cuál de las siguientes etapas del desarrollo de un pino se forman los vasos, los canales resiníferos y el parénquima?
A.- Diferenciación supracelular
B.- Diferenciación celular
C.- División celular
D.- Aumento celular



210.-Durante el fenómeno de la transpiración, la planta desaloja agua debido a que se:
A.- Dilatan las células estomáticas
B.- Contraen las células estomáticas
C.- Hinchan las células de la nervadura
D.- Contraen las células de la nervadura



211.-El oxígeno necesario para la respiración de un vegetal puede penetrar por el tallo a través de:
A.- Las fibras
B.- Las lenticelas
C.- Los radios vasculares
D.- Los anillos de crecimiento



212.-Por medio de la respiración anaerobia, las plantas son capaces de:
A.- Sintetizar compuestos bajos de energía
B.- Utilizar como alimento sus moléculas estructurales
C.- Descomponer el agua para obtener el oxígeno necesario
D.- Realizar sus actividades metabólicas en ausencia del oxígeno

Lea el siguiente párrafo:

En las partes leñosas de ciertos vegetales, existen varias capas de células muertas debido a que su cápsula se ha impregnado de suberina
213.-De acuerdo al párrafo anterior, la última etapa de crecimiento a la que han llegado estos vegetales es la de:
A.- División celular
B.- Incremento celular
C.- Diferenciación celular
D.- Diferenciación supracelular



214.-Durante un estudio acerca del desarrollo embrionario de la rana, se separaron varias células del ectodermo en la etapa de gastrulación. ¿En cuál de los sistemas de la rana se presentarán alteraciones?
A.- Circulatorio
B.- Respiratorio
C.- Muscular
D.- Nervioso



215.-El organismo que se caracteriza por tener solamente un orificio digestivo por el cual absorbe alimentos y elimina deshechos se llama:
A.- Paramecio
B.- Caracol
C.- Camarón
D.- Hidra



216.-Un animal que presenta un sistema nervioso extendido a través del cuerpo, a manera de red, es:
A.- La hidra
B.- El caracol
C.- La planaria
D.- El saltamontes



217.-En la fasciola que parasita al hígado, el transporte de sustancias nutritivas se realiza a través de:
A.- Un sistema vascular ramificado
B.- Un vaso dorsal con varios ensanchamientos
C.- Un par de tubos largos unidos por vasos pequeños
D.- Una cavidad interior delimitada con células especializadas



218.-Las partículas alimenticias que ingiere la lombriz de tierra son almacenadas y humedecidas en:
A.- El buche
B.- La faringe
C.- La molleja
D.- El intestino



219.-La diferencia entre el saltamontes y la langosta radica en que ésta última presenta respiración del tipo:
A.- Branquial
B.- Pulmonar
C.- Traqueal
D.- Cutánea



220.-La circulación de agua en las esponjas se efectúa a través de:
A.- Los arcos aórticos
B.- Las células collar
C.- Los vasos capilares
D.- Las capas blastodérmicas



221.-Una diferencia entre la respiración de los peces y la de los insectos es la presencia en estos últimos de:
A.- Sacos con numerosos capilares que realizan el intercambio de gases
B.- Opérculos que cubren las áreas por donde se capta el oxígeno
C.- Láminas filamentosas que realizan el intercambio gaseoso
D.- Espiráculos que permiten la entrada del oxígeno



222.-¿Cuál de los siguientes organismos presenta gran cantidad de fotorreceptores unicelulares distribuidos sobre todo su cuerpo?
A.- Araña
B.- Cangrejo
C.- Lombriz de tierra
D.- Mariposa nocturna



223.-¿En cuál de las siguientes acciones una araña utiliza sus quimiorreceptores?
A.- Cuando localiza a su pareja
B.- Cuando construye su telaraña
C.- Cuando inmoviliza a sus presas
D.- Cuando detecta las vibraciones de su telaraña



224.-Generalmente, el desarrollo del renacuajo se considera completo cuando:
A.- Se forma la médula espinal
B.- Se forma el músculo cardíaco
C.- Aparecen los pliegues neuronales
D.- Aparecen las cubiertas branquiales



225.-En el sistema nervioso de los vertebrados, ¿qué hormona se libera para transportar el impulso a través de la sinapsis?
A.- Tiroxina
B.- Insulina
C.- Acetilcolina
D.- Adrenocorticotrófica



226.-Cuando nacen las crías de un alacrán suben al dorso de la madre y permanecen sobre ella hasta que son capaces de alimentarse por sí mismos. Este tipo de comportamiento que presentan las crías se denomina:
A.- Taxia
B.- Reflejo
C.- Instinto
D.- Aprendido



227.-Los ganglios segmentales permiten que ciertas regiones del cuerpo lleven a cabo algunas de sus funciones sin la participación del cerebro. Lo anterior hace referencia a una característica del mecanismo nervioso de la:
A.- Medusa
B.- Mariposa
C.- Planaria
D.- Lombriz de tierra



228.-Un investigador realizó experimentos con cierta especie de tiburones pequeños, los enseñó a empujar una tablita de madera, esto hacía sonar un timbre debajo del agua y hacía caer un trozo de pescado. Después de seis semanas de adiestramiento, los tiburones, cuando tenían hambre, únicamente empujaban la tablita. Lo anterior ejemplifica un comportamiento de tipo:
A.- Taxia
B.- Innato
C.- Impresión
D.- Condicionado



229.-¿Cuál de los siguientes grupos de animales, por la relación que establecen entre sí, constituyen una familia?
A.- Las focas
B.- Los gansos
C.- Las hormigas
D.- Los caribúes

Observe la siguiente trama alimentaria:


230.-¿Cuáles son los organismos por los que las relaciones anteriores constituyen una trama alimentaria?


A.- Las serpientes y los mapaches
B.- Los insectos y los pájaros
C.- Los ratones y las ardillas
D.- Las ardillas y los sapos



231.-La teoría sobre el origen de los organismos que sostiene que la vida sólo se origina de la vida, fue propuesta por:
A.- Redí
B.- Millar
C.- Oparín
D.- Fabricius



232.-¿En cuál opción se menciona una de las pruebas directas de la teoría de la evolución?
A.- La comparación del desarrollo embrionario de diversos organismos
B.- La existencia de fósiles de trilobites en determinadas montañas
C.- La comparación de los miembros delanteros de diferentes vertebrados
D.- La existencia de una unidad de estructura y función en los seres vivos



233.-Uno de los argumentos que utilizó Darwin para concluir la Selección Natural fue el estudio que llevó a cabo acerca de:
A.- La gran diversidad de especies con los mismos hábitos alimentarios
B.- El patrón de comportamiento que predominaba en las diferentes especies
C.- Las diferentes etapas reproductivas de las especies emparentadas filogenéticamente
D.- Los rasgos característicos que presentaban las especies de acuerdo con el hábitat en que se encontraban



234.-En los siguientes enunciados se describe cómo interviene la Selección Natural en la evolución de las especies, EXCEPTO en la opción:
A.- Estimula la sobrevivencia de los organismos más aptos
B.- Permite que las especies diferentes se crucen entre sí
C.- Equilibra la población existente en determinado hábitat
D.- Permite la transmisión de caracteres de una generación a otra



235.-¿Cuál de los siguientes procesos provoca variación en las especies?
A.- Esporulación
B.- Bipartición
C.- Mutación
D.- Gemación



236.-La clasificación taxonómica natural de los organismos se basa principalmente en:
A.- El hábitat
B.- El comportamiento
C.- La composición química celular
D.- La estructura anatómica externa


En un paciente que necesita una transfusión se realiza la prueba correspondiente para conocer su grupo sanguíneo, extrayéndole 1 ml. De sangre y poniendo 2 gotas separadas de ésta en un porta objetos; inmediatamente, a cada una de las gotas se le agrega sueros anti A y anti B observándose que no hay aglutinación
237.-¿Qué tipo de sangre tiene el paciente?
A.- AA
B.- BB
C.- AB
D.- OO



238.-Para aplicar una transfusión a un hombre es fundamental conocer su tipo de sangre así como el de su donador, principalmente para:
A.- Evitar la producción de anticuerpos que dañen al aceptor
B.- Determinar la cantidad de glóbulos rojos que ambos poseen
C.- Determinar el tipo de coagulación que presenta el aceptor
D.- Comprobar si ambos poseen un carácter sanguíneo dominante o recesivo



239.-Las siguientes opciones mencionan algunas funciones de la placenta de la mujer, EXCEPTO la indicada con la letra:
A.- Permite que el feto permanezca en el útero
B.- Permite el intercambio de sangre entre la madre y el feto
C.- Permite la excreción de los productos de deshecho del feto
D.- Permite que el oxígeno y las sustancias nutritivas se difundan de la madre al feto



240.-Una de las funciones del sistema linfático en el hombre consiste en:
A.- Contraer la pupila
B.- Disminuir la presión arterial
C.- Acelerar la acción muscular del corazón
D.- Inhibir la secreción de los jugos digestivos



241.-En el siguiente dibujo, la estructura que conduce el impulso nervioso después de la sinapsis durante un arco reflejo está señalada con la letra:


A.-
B.-
C.-
D.-



242.-La función de un nervio fotorreceptor consiste en:
A.- Regular la temperatura corporal
B.- Percibir la intensidad del sonido
C.- Sentir la aspereza de las superficies
D.- Calcular la distancia a que se encuentran los objetos



243.-La función del sistema endocrino en el hombre es:
A.- Concentrar los deshechos del organismo
B.- Coordinar las actividades de las células
C.- Proteger el organismo contra los agentes patógenos
D.- Llevar los nutrientes a cada una de las células



244.-Una persona, al darse cuenta que está a punto de ser atropellada, corre hacia la banqueta para protegerse. Su organismo experimenta pulso acelerado, vasoconstricción y todos sus sentidos se ponen alerta. Estos cambios se deben a un buen funcionamiento de:
A.- Las suprarrenales
B.- Las paratiroides
C.- La tiroides
D.- La pineal



245.-El componente sanguíneo que contiene a la molécula capaz de atraer oxígeno se denomina:
A.- Ventrículo izquierdo
B.- Ventrículo derecho
C.- Aurícula izquierda
D.- Aurícula derecha



246.-¿Cuál de los siguientes enunciados menciona la función principal del sistema linfático?
A.- Ayudar a la coagulación sanguínea
B.- Promover la producción de antígenos
C.- Producir fibroplastos que ayuden a la cicatrización
D.- Destruir a los microorganismos



247.-Una infección viral que llegue a enfrentarse a la segunda barrera de defensa del organismo estimulará a los plasmocitos para producir:
A.- Fagotitos
B.- Antígenos
C.- Linfocitos
D.- Anticuerpos



248.-La estructura del aparato digestivo que controla el paso del alimento al duodeno es el:
A.- Píloro
B.- Esófago
C.- Apéndice
D.- Páncreas



249.-En el proceso respiratorio del hombre, la función del diafragma consiste principalmente en:
A.- Proteger y sostener los pulmones
B.- Relajar los músculos de las costillas
C.- Impedir que los pulmones presionen el corazón
D.- Ayudar a ensanchar y reducir la cavidad toráxico



250.-Es importante que la dieta alimentaria de una persona contenga vitamina D para evitar enfermedades como:
A.- El raquitismo
B.- El beri-beri
C.- La pelagra
D.- La anemia